y’=(1+y)/sinx の計算過程が複雑なので記事にしました。 変数分離形
計算の方針:1/sinxの積分が複雑なので最初に計算します。
\(y’=\frac{1+y}{sin\ x}\)の計算過程が複雑なので記事にしました。
※数式がスマホで画面からはみ出る場合、横スクロールするかピンチインしてください。
目次
計算の方針
\(\frac{1}{sin\ x}\)の積分が複雑なので最初に計算します。
\(\int_{}{}\frac{1}{sin\ x}\) を解くのに必要な道具
置換積分
関数f(x)が連続であり、関数φ(t)は、微分可能で導関数φ'(t)が連続とする。このとき
$$\int{}{}f( \varphi (x)) \varphi ^{\prime}(x)dx=\int_{}{}f(t)dt$$
が成り立つ。
2倍角の公式
$$cos2\theta=2cos^2\theta-1$$
$$tan2\theta=\frac{2tan\theta}{1-tan^2\theta}$$
証明
cosの加法定理
cosα+β=cosαcosβ-sinαsinβ
において α=β=θ とおくと
$$cos2\theta=cos\theta cos\theta-sin\theta sin\theta=cos^2\theta-sin^2\theta$$
tanの加法定理
$$tan( \alpha + \beta )=\frac{tan\ \alpha + tan\ \beta}{1-tan\ \alpha\ tan\ \beta}$$
において α=β=θ とおくと,
$$tan\ 2\theta=\frac{tan\ \theta+tan\ \theta}{1-tan\ \theta\ tan\ \theta}=\frac{2tan\ \theta}{1-tan^2\theta}$$
\(\int_{}{}\frac{1}{sin\ x}\)の解法
\(t=tan\frac{x}{2}\)とおくと
$$tan\ x=\frac{2tan\frac{x}{2}}{1-tan^2\frac{x}{2}}=\frac{2t}{1-t^2}$$
\(cos^2\frac{x}{2}=\frac{1}{1+tan^2\frac{x}{2}}=\frac{1}{1+t^2}\)より
$$cos\ x=2cox^2\frac{x}{2}-1=\frac{2}{1+t^2}-1=\frac{2-1-t^2}{1+t^2}=\frac{1-t^2}{1+t^2}$$
$$sin\ x=tan\ x\ cos\ x=\frac{2t}{1-t^2}\frac{1-t^2}{1+t^2}=\frac{2t}{1+t^2}$$
sinxの微分
$$\frac{dx}{dt}=\frac{2(1+t^2)-4t^2}{(1+t^2)^2}=\frac{2(1-t^2)}{(1+t^2)^2}=\frac{2(1-t^2)}{(1+t^2)(1-t^2)}=\frac{2}{1+t^2}$$
$$dx=\frac{2}{1+t^2}dt$$
\(\int_{}{}\frac{1}{sin\ x}\)の解法
$$\int_{}{}\frac{1}{sin\ x}dx=\int_{}{}\frac{1+t^2}{2t}\frac{2}{1+t^2}dt=\int_{}{}\frac{1}{t}dt=log|t|=log\left|tan\frac{x}{2}\right|$$
\(y’=\frac{1+y}{sin\ x}\)の解法 y’=(1+y)/sinx の解法 変数分離形
$$\frac{dy}{dx}=\frac{1+y}{sin\ x},\ \frac{1}{1+y}dy=\frac{1}{sin\ x}dx,\ \int_{}{} \frac{1}{1+y}dy=\int_{}{} \frac{1}{sin\ x}dx,\ log|1+y|=log\left|tan \frac{x}{2}\right|+A$$
$$|1+y|=e^A\left|tan\frac{x}{2}\right|,\ |1+y|=B\left|tan\frac{x}{2}\right|,\ 1+y=C\cdot tan\frac{x}{2},\ y=C\cdot tan\frac{x}{2}-1$$
参考文献
検索しても計算過程が見つからない場合
検索しても計算過程が見つからない場合ココナラ
を利用してみてはいかがでしょうか。
ココナラ 登録方法
会員登録しなくてもサービスの検索はできます。
サービスの購入・出品には会員登録が必要です。

スタディサプリ進路 社会人向け の 使い方
スタディサプリ進路 社会人向けで社会人が数学を学べる大学を検索してみます。

独学で大学数学の微分方程式を勉強しています!
- 1/sinxdxから1/tdtへの変形 トラクトリックス
- 1階非斉次線形微分方程式の一般解
- y’=(1+y)/sinxの解き方 変数分離形
- y’=(x^2-y^2)/2xyの解き方 同次形
- y’=2y/x-yの解き方 同次形
- dy/dx-(3/2)(y-a)^(1/3)=0 の一般解と、それらの解曲線の包絡線である特異解
- x=-e^2t∫3t^2e^(-2t)dt+te^2t∫3te^(-2t)dtの解き方 部分積分
- 特殊解を求めるのに 定数変化法 より クラメルの公式
- x”-x’=sint+2costの一般解(未定係数法)
- x”-2x’+5x=20cost, x(0)=x'(0)=0の解き方 初期値問題
- (t+2)x”-(2t+6)x’+(t+4)x=0 (x=e^t)の一般解 階数低下法
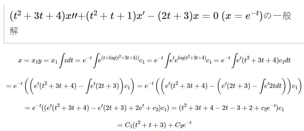
- (t^2+3t+4)x”+(t^2+t+1)x’-(2t+3)x=0 (x=e^(-t))の一般解 階数低下法
- 3つの関数の積の積分
- 4xy”+2y’+y=0の解き方(オイラーの微分方程式)
- 4xy”+2y’+y=0の解き方(フロベニウスの方法)
- x^2y”-2xy’+(x^2+2)y=0の解き方(フロベニウスの方法)
- 級数解法・フロベニウスの方法 使い分け
- x=0 で 等温境界条件 u(0,t)=uをみたし、 x=1 で 断熱境界条件 ux(1,t)=0をみたす解
- x=0 で 断熱境界条件 ux(0,t)=uをみたし、 x=1 で 等温境界条件 u(1,t)=0 をみたす解
- 4x^7y-28x^5y^3+28x^3y^5-4xy^7をr^nsinnθ,r^ncosnθの1次結合として表す。
- 4x^7y-28x^5y^3+28x^3y^5-4xy^7の最大値・最小値 ラプラシアン
- 独学で大学数学の積分因子を勉強しています!
- 完全微分形の一般解
- (x^2+3xy+2y^2)dy+(2x^2+3xy+y^2)dx=0の一般解 完全微分形
